ok138cn太阳集团伽玛科创计划:《Chladni图案:声学之父的振动画板》成果展示
编者按:
太阳集团tyc9728ok138cn太阳集团坚持以学生成长为中心,落实立德树人根本任务,不断提升人才培养质量。学院秉持“加强基础、促进交叉、尊重选择、卓越教学”人才培养理念,自2022年起启动“本科生伽玛科创计划”,支持本科生参加大学生创新训练计划、教师科研项目及学科竞赛等科研训练,激发学生主动学习,鼓励学生早进实验室、早接触科研、早潜心学术,注重培养学生的学习力、思想力、行动力,涵养创造力。
ok138cn太阳集团开设的2022年度本科生伽玛科创计划项目(简称:“伽玛科创项目”)经过选题、立项、研究、结项答辩等环节,历时一年的时间已顺利完成。2022年度学院伽玛科创共立项18项,参与本科生学生60名。经过专家评审,项目通过结题答辩,6个项目获评优秀。现推出科研成果展示系列。
Chladni图案:声学之父的振动画板
指导老师:郑立洋 副教授
项目完成人:赵慕白,钱皖婷,刘卓莹
考核结果:优秀
背景简介
Chladni 图案是在 18 世纪末德国物理学家和音乐家Ernst Chladni在研究板的共振时发现的。当板发生共振时,不同区域具有相反的振动方向;而区域的分界线称为结点线,其振动为零。在国际上通过Chladni图形去判断波的材料的研究仍属于前沿研究。

创新点
1. 我们建立了薄板振动的理论分析模型, 并利用数值模拟进行验证,最终在实验中 获得了理论、模拟、实验相吻合的振动图案。
2. 我们系统研究了波的产生、振动与叠加过程,利用 Chladni 板实现了波的可视化。
成果总结
项目实施的进展情况及初步取得的创新成果
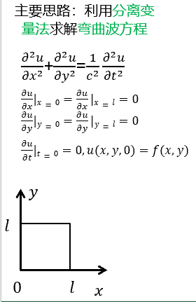
在理论方面, 我们利用本科生课程《数学物理方法》中的“分离变量法”以及相关 的边界条件、初始条件,成功的解出了板的弯曲波方程的通解形式,找到了板中对应的特征模式,并利用MATLAB直观形象的表现出了特征模式的振动分布图案(即Chladni图案)。根据实验的具体振动激发情况,我们在方程中加入了对应激励源项, 具体分析了振动的产生与不同特征模式的激发。
在模拟仿真方面,我们借助有限元模拟、多物理场耦合的仿真软件COMSOL MULTIPHYSICS 对板的振动传输问题进行数值模拟。依据实验器材的相关参数,如几何参数、材料、杨氏模量、各个方向的性质(各向同性)在 comsol 中建立模型,之后将模拟仿真的结果与实验进行比对分析,获得了理论、模拟、实验相吻合的结果。
在实验方面,我们采购了两套完整的 Chladni 板相关的装置进行实验,依据实验结果和模拟仿真、理论的结果进行比对,调整实验的参数以及环境参数,让实验结果能避免偶然性,更加真实。
创新成果:
(1) 根据理论得到了一部分 Chladni 图案,并将其整理,分析其中的规律。可以发现均为中心对称图形,且随着阶数的变高图形会变得更加复杂。
(2) 通过 comsol 也得到了一部分的 Chladni 图案,并将其与实验和理论对比,验证了理论和实验的准确性。

(3) 实验中,在板上看到了Chladni图案,实现了波的可视化。

